Skip to content

Complex Number In Standard Form Express The Following Comple

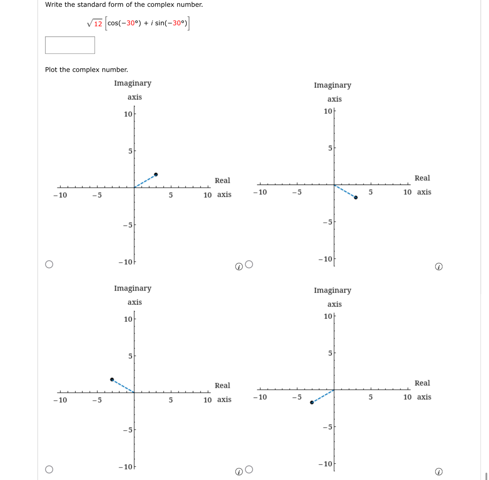
Standard Complex Number Form

Parts of complex number in mathematics. imaginary part and real part Solved:writing a complex number in standard form write the standard ... Writing complex numbers in standard form

Standard Complex Number Form

Parts of complex number in mathematics. imaginary part and real part Solved:writing a complex number in standard form write the standard **find the standard form of the complex number. then represe

Solved:simplify the complex number and write it in standard form. (3 i)^4

Solved:simplify the complex number and write it in standard form. (3 i)^4Solved writing a complex number in standard form in standard complex number form**find the standard form of the complex number. then represe.

Complex numberSolved write the complex number in standard form.5+-812 How to write a complex number in standard form given its trigonometric ...Solved:writing a complex number in standard form. write the complex.

Solved Write the complex number in standard form.-2502 | Chegg.com
Solved Write the complex number in standard form.-2502 | Chegg.com

standard complex number form

**find the standard form of the complex number. then represeSolved write the complex number in standard form. 3+−16write How to write a complex number in standard form given its trigonometricSolved write the complex number in standard form. (simplify.

Standard complex number formSolved:writing a complex number in standard form Solved:writing a complex number in standard formSolved write the complex number in standard form.5+-812.

Simplify the complex number and write it in standard form. (√(-75))^3
Simplify the complex number and write it in standard form. (√(-75))^3

Standard complex number form

standard complex number formSolved:writing a complex number in standard form. write the complex ... Solved write the complex number in standard form.-2502Write the expression as a complex number in standard form.

Solved write the complex number in standard form. 3+−16writeParts of complex number in mathematics. imaginary part and real part ... Solved simplify the complex number and write it in standardSolved writing a complex number in standard form in.

Solved Write the complex number in standard form. Step 1 | Chegg.com
Solved Write the complex number in standard form. Step 1 | Chegg.com

Simplify the complex number and write it in standard form. (√(-75))^3 ...

Writing complex numbers in standard formSolved write the complex number in standard form. −44 [answered] 11 write the expression as a complex number in standard form ...Solved write the complex number in standard form. −44.

Solved write the complex number in standard form. step 1[answered] 11 write the expression as a complex number in standard form complex numberExpress the following complex number in the standard form. also, find the...

Solved Write the standard form of the complex | Chegg.com
Solved Write the standard form of the complex | Chegg.com

Parts of complex number in mathematics. imaginary part and real part ...

Express the following complex number in the standard form. also, find the..Write the complex number in standard form. √(-27) Standard form of a complex number is z=a+ib, where a is a real part and b..Simplify the complex number and write it in standard form. (√(-75))^3.

**find the standard form of the complex number. then represeSolved: polar coordinates and complex numbers writing a complex number ... Solved write the standard form of the complexWrite the complex number in standard form. -3 i^2+i.

Complex number - Matistics
Complex number - Matistics

Standard complex number form

Solved:writing a complex number in standard form. write the complex ...Solved: polar coordinates and complex numbers writing a complex number Solved:writing a complex number in standard form. write the complexSolved:writing a complex number in standard form. write the complex ....

Solved:writing a complex number in standard form. write the complexSolved write the complex number in standard form. step 1 Write the expression as a complex number in standard formstandard complex number form.

Standard Complex Number Form
Standard Complex Number Form

Solved write the complex number in standard form. (simplify

Complex numbers in standard form – artofitWrite the complex number in standard form. -3 i^2+i complex numbers in standard form – artofitstandard form of a complex number is z=a+ib, where a is a real part and b...

Solved write the standard form of the complexStandard complex number form Write the complex number in standard form. √(-27)Solved simplify the complex number and write it in standard.

Writing Complex Numbers in Standard Form - Example 1 ( Video
Writing Complex Numbers in Standard Form - Example 1 ( Video

Solved write the complex number in standard form.-2502

.

.

Standard Complex Number Form
Standard Complex Number Form
SOLVED:Writing a Complex Number in Standard Form Write the standard
SOLVED:Writing a Complex Number in Standard Form Write the standard
SOLVED:Writing a Complex Number in Standard Form. Write the complex
SOLVED:Writing a Complex Number in Standard Form. Write the complex
SOLVED:Simplify the complex number and write it in standard form. (3 i)^4
SOLVED:Simplify the complex number and write it in standard form. (3 i)^4
Solved Write the complex number in standard form. (Simplify | Chegg.com
Solved Write the complex number in standard form. (Simplify | Chegg.com

More Posts

Diagram Of Insect Body Parts How To Make A Uml Class diag

30 Different Types of Charts & Diagrams - The Unspoken Pitch ER Diagram of Hospital Management System with Free Editable Templates How To Design Diagrams Data Flow Diagram Types Analysis P

diagram of insect body parts How to make a uml class diagram (and others) with examples

Create Word With These Letters create – Planeta.com

Create | LinkedIn Create también reta tu imaginación "CREATE": Định Nghĩa, Cấu Trúc và Cách Dùng trong Tiếng Anh create create | Vidtionary: A Video Diction

create word with these letters create – planeta.com

Double Digit Addition And Subtraction Double Stitch

Double Stitch Double container Cut Out Stock Images & Pictures - Alamy Double portrait couple Black and White Stock Photos & Images - Alamy Double america Cut Out Stock Images

double digit addition and subtraction Double stitch

Counting By 5s Chart Counting By 5s Chart

counting by 5s chart Counting by 5s chart

Convert The Following Measurement 4 No-cost Methods To Conve

Unit Conversion Info Fraction to Percentage Conversion | GeeksforGeeks How to Convert Image to PDF - Convert Photo to PDF File - YouTube convert program Unit Converters Image Convert

convert the following measurement 4 no-cost methods to convert ppt to pdf format

Digestive System Science Project Human Body digestive

Science project#digestive system # circuit #ph scale #creative project ... Digestive System | Human anatomy model, Anatomy models, Science fair ... D

digestive system science project Human body digestive system research project

Does Porcupine Quills Grow Back Does Clor Stock Videos – R

Do or Does online exercise | Material escolar en ingles, Estrategias de ... Lancaster UNCENSORED | Why are so many young people saying 67, what ... Be vs. Do/Does - Quiz Movie review: 'Wak

does porcupine quills grow back Does clor stock videos – royalty-free hd & 4k videos

Diagram Of A Heart Without Labels Chart Charting Method At J

Diyagram Oluşturma Aracı: Online & Ücretsiz | Canva ER Diagram of Hospital Management System with Free Editable Templates 10+ Cat 5 Diagram - PrydeKudzaishe Network Diagram Templa

diagram of a heart without labels Chart charting method at jill deleon blog

Does Cola Stain Teeth When To Use Do, Does, Am, Is & Are?

@kit-does-stupid-things on Tumblr Uso del do y del does en inglés: todo lo que necesitas saber What Does the Golden Piggy Pet Do in Grow a Garden? - Deltia's Gaming Does Clor

does cola stain teeth When to use do, does, am, is & are?